河南大学数学与统计学院、河南省应用数学中心(河南大学)成员黄琼敖副教授在梯度流系统高精度无条件能量稳定格式的构造方面取得重要进展,相关成果以“A weighted scalar auxiliary variable method for solving gradient flows: bridging the nonlinear energy-based and Lagrange multiplier approaches”为题在计算数学权威期刊Journal of Scientific Computing (JSC)上发表。
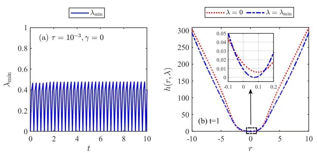
在构建梯度流系统的高精度能量稳定格式中,有两类广泛采用的方法:(i)标量辅助变量(SAV)方法,适用于任意时间步长,但在较大时间步长下其修改离散能量可能与原始能量存在显著偏差;(ii)Lagrange乘子方法,严格保持原始能量的稳定性,但仅当时间步长较小时才能保证数值解的存在性。本文基于加权思想,首次将这两类方法纳入统一框架,并提出了一种新颖的加权SAV方法(如图1)。该方法融合了两者的优势,并有效解决了各自存在的问题:对于任意时间步长,加权SAV方法均能确保数值解的存在性,从而克服Lagrange乘子方法可能无解的局限性(如图2);同时,其离散能量相比传统SAV方法更接近于原始能量(如图3)。此外,该方法可与守恒型离散格式结合保持能量耗散率,并可推广至Hamilton系统、Navier-Stokes方程等与能量变分相关的方程。



此项研究成果由河南大学数学与统计学院、河南省应用数学中心(河南大学)以及武汉大学合作完成。中心成员黄琼敖副教授为第一作者,武汉大学袁成副研究员为通讯作者、蒋维教授和杨志坚教授为重要合作者。
文章链接:https://link.springer.com/article/10.1007/s10915-025-03149-9